• 返回首页

  • 网站首页
  • > 搜索结果 >
提示! 系统正在搜索中,请稍后...
抱歉! 找不到和您的查询相符的项目

最新图片信息

  • 开展校园网络安全培训 增强网络安全意识
  • 吕述望教授受邀为我院师生开展《区域网建设与网络安全治理》专题讲座
  • 开云app官方在线入口关于征集汇编教师论文集的通知
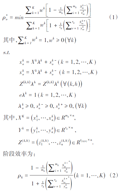
  • 许艳丽,蔡璇|基于网络DEA模型的“双高计划”院校产教融合建设成效评价研究
  • 开云app官方在线入口在2024年贵州技能大赛暨第一届数字经济行业技术应用职业技能竞赛喜获佳绩
  • 开云app官方在线入口第二届教师教学能力比赛决赛获奖名单
  • 教务处开展“校友邦 ”岗位实习平台操作流程培训会
  • 我校召开2025年质量年报及办学能力评估工作部署会
技术支持:易舟软件